63% found this document useful (24 votes)
79K views1 page

Annex A1 Sworn Declaration

This document is a sworn declaration from Gaius Appolus S. Adap, a self-employed Filipino citizen and resident of Oriental Mindoro, declaring his sole source of income as a professional from the DepEd-Pacalsan Elementary School. He opts to be taxed either at the graduated income tax rates or at a flat 8% income tax rate on his gross receipts, and acknowledges the withholding tax requirements if his income exceeds 250,000 pesos. The document is submitted to the lone income payor to establish his tax status and withholding requirements.

Uploaded by

Aileen Bituin
Copyright
© © All Rights Reserved
Available Formats
Download as DOCX, PDF, TXT or read online on Scribd
Download as docx, pdf, or txt
63% found this document useful (24 votes)
79K views1 page

Annex A1 Sworn Declaration

This document is a sworn declaration from Gaius Appolus S. Adap, a self-employed Filipino citizen and resident of Oriental Mindoro, declaring his sole source of income as a professional from the DepEd-Pacalsan Elementary School. He opts to be taxed either at the graduated income tax rates or at a flat 8% income tax rate on his gross receipts, and acknowledges the withholding tax requirements if his income exceeds 250,000 pesos. The document is submitted to the lone income payor to establish his tax status and withholding requirements.

Uploaded by

Aileen Bituin
Copyright
© © All Rights Reserved
Available Formats
Download as DOCX, PDF, TXT or read online on Scribd
Download as docx, pdf, or txt
Download as docx, pdf, or txt
You are on page 1/ 1

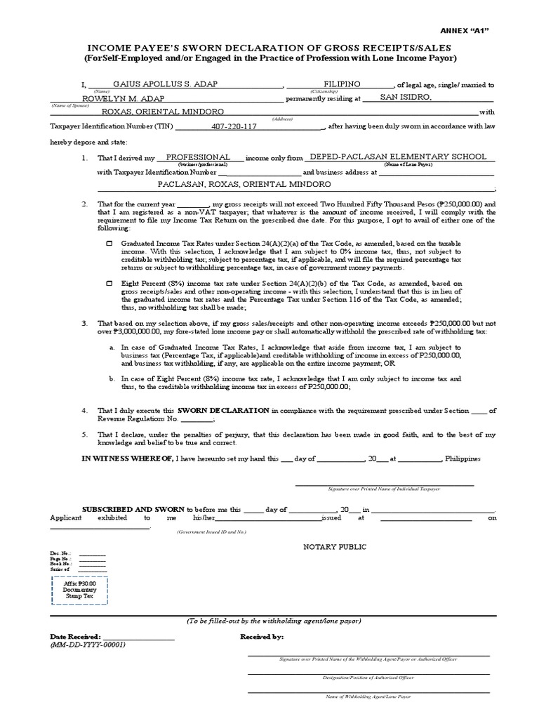
ANNEX “A1”

INCOME PAYEE’S SWORN DECLARATION OF GROSS RECEIPTS/SALES


(ForSelf-Employed and/or Engaged in the Practice of Profession with Lone Income Payor)

GAIUS APOLLUS S. ADAP


I, _________________________________________________, FILIPINO
___________________________, of legal age, single/ married to
(Name) (Citizenship)
_____________________________________________________
ROWELYN M. ADAP SAN ISIDRO,
permanently residing at _________________________________
(Name of Spouse)
ROXAS, ORIENTAL MINDORO
____________________________________________________________________________________________________________ with
(Address)
Taxpayer Identification Number (TIN) _________________________________
407-220-117 _, after having been duly sworn in accordance with law

hereby depose and state:

1. PROFESSIONAL
That I derived my ______________________ DEPED-PACLASAN ELEMENTARY SCHOOL
income only from ________________________________________________
(business/professional) (Name of Lone Payor)
with Taxpayer Identification Number ___________________ and business address at _____________________________
PACLASAN, ROXAS, ORIENTAL MINDORO
____________________________________________________________________________________________________;

2. That for the current year ________, my gross receipts will not exceed Two Hundred Fifty Thousand Pesos (₱250,000.00) and
that I am registered as a non-VAT taxpayer; that whatever is the amount of income received, I will comply with the
requirement to file my Income Tax Return on the prescribed due date. For this purpose, I opt to avail of either one of the
following:

 Graduated Income Tax Rates under Section 24(A)(2)(a) of the Tax Code, as amended, based on the taxable
income. With this selection, I acknowledge that I am subject to 0% income tax, thus, not subject to
creditable withholding tax; subject to percentage tax, if applicable, and will file the required percentage tax
returns or subject to withholding percentage tax, in case of government money payments.

 Eight Percent (8%) income tax rate under Section 24(A)(2)(b) of the Tax Code, as amended, based on
gross receipts/sales and other non-operating income - with this selection, I understand that this is in lieu of
the graduated income tax rates and the Percentage Tax under Section 116 of the Tax Code, as amended;
thus, no withholding tax shall be made;

3. That based on my selection above, if my gross sales/receipts and other non-operating income exceeds ₱250,000.00 but not
over ₱3,000,000.00, my fore-stated lone income pay or shall automatically withhold the prescribed rate of withholding tax:

a. In case of Graduated Income Tax Rates, I acknowledge that aside from income tax, I am subject to
business tax (Percentage Tax, if applicable)and creditable withholding of income in excess of P250,000.00,
and business tax withholding, if any, are applicable on the entire income payment; OR

b. In case of Eight Percent (8%) income tax rate, I acknowledge that I am only subject to income tax and
thus, to the creditable withholding income tax in excess of P250,000.00;

4. That I duly execute this SWORN DECLARATION in compliance with the requirement prescribed under Section ____ of
Revenue Regulations No. ________;

5. That I declare, under the penalties of perjury, that this declaration has been made in good faith, and to the best of my
knowledge and belief to be true and correct.

IN WITNESS WHEREOF, I have hereunto set my hand this ___ day of ____________, 20___ at ___________, Philippines

_____________________________________________
Signature over Printed Name of Individual Taxpayer

SUBSCRIBED AND SWORN to before me this _____ day of ____________, 20___ in _______________________________.
Applicant exhibited to me his/her___________________________issued at _______________________ on
_________________________.
(Government Issued ID and No.)

NOTARY PUBLIC
Doc. No.: __________
Page No.: __________
Book No.: __________
Series of ___________

Affix ₱30.00
Documentary
Stamp Tax

(To be filled-out by the withholding agent/lone payor)

Date Received: __________________ Received by:


(MM-DD-YYYY-00001)
_____________________________________________________________
Signature over Printed Name of the Withholding Agent/Payor or Authorized Officer

_____________________________________________________________
Designation/Position of Authorized Officer

_____________________________________________________________
Name of Withholding Agent/Lone Payor

You might also like